The NAFEMS Stochastics Working Group (SWG) has developed a guide entitled "What is Uncertainty Quantification (UQ)?" [1] describing the basic steps and definitions of Uncertainty Quantification, it has also hosted several discussions and webinars around the topic. Recently, the group updated the definitions of the Probabilistic Analysis [2] as part of the NAFEMS Professional Simulation Engineer (PSE) certification and is now working on developing related training and educational resources. In addition, the SWG has launched several challenge problems [3] in the area of probabilistic analysis and stochastics over the last several years.
These challenge problems are used to:
This new challenge problem is focused on the consideration of epistemic uncertainties. An irreducible uncertainty (aleatory uncertainty) is an inherent variation associated with the physical system being modeled which is characterized by probability distributions. Reducible uncertainty (epistemic uncertainty) is the lack of certitude in a measured or calculated value that can be reduced by gathering more data, observations, or information. Reducible uncertainty is typically addressed by attempting to include conservative assumptions in the formulation of the uncertainties. Reducible uncertainty is also called ‘lack of knowledge uncertainty’.
Figure 1 shows a generic view of the probabilistic modelling process highlighting the additional complication if epistemic uncertainties are considered— as in the case of poorly known input distributions (in red)— in the analysis.

Figure 1:Engineering simulations considering aleatory and epistemic uncertainties.
There are a variety of methods available to solve this problem. For example, double-loop Monte-Carlo simulations, where the inner loop samples from the aleatory uncertainty and the outer loop samples from the epistemic uncertainties. The given challenge problem does not, however, prescribe a specific solution method. The aim is rather to see what methods are applied in the community to address mixed uncertainty problems. The focus of this challenge problem is to estimate the uncertainty in the probabilistic output quantities and separate them according to aleatory and epistemic sources.
This first part of this challenge problem is described in Figure 2 and focuses on sampling uncertainty. We assume two normal distributions for R and S which we need to estimate given some observed data and are interested in the probability of S exceeding R. R and S can be interpreted, for example, as the strength and stress of the location of interest on the lug in Figure 1, respectively.

Figure 2:Simple Challenge problem for epistemic and aleatory uncertainty.
Quantify the uncertainty on the probability of failure due to limited data used to model input variations assuming a normal distribution for both R and S. There are multiple ways of representing this uncertainty, e.g. confidence intervals and credibility intervals, and we are not prescribing any specific methods to solve the problem.
The Limit state is defined as: g = R - S
and the probability of failure is defined as: pf = Prob (g < 0)
Which variable contributes most to the uncertainty in the probability of failure prediction?
What probability of failure do you use to make a decision?
The second part of the challenge problem extends the consideration of epistemic uncertainty to a potential industrial scenario. The calculation of the drop in pressure of the fluid traveling through a porous material is considered. Some examples of applications include reactor columns that contain solid catalyst materials in petroleum processing, filtration using granular filter media, and grain aeration in agricultural settings.
A schematic of the problem is shown in Figure 3. A porous material is loaded into a cylindrical bin, and air is introduced into a plenum below the porous material; adequate static pressure is assumed available to induce flow through the porous material with a superficial velocity, vs . The pressure drop that develops between the plenum and the headspace, separated by a length L of porous material, is the quantity of interest.

Figure 3:Schematic of the model problem used for the analytical calculation of
pressure drop of air moving through a porous material.
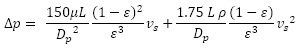
The pressure drop of air flowing through a region of porous material, neglecting heat and mass transfer, can be estimated by the following equation [4]:

Where:

For this portion of the challenge problem, this analytical model replaces the concept of the simulation model in Figure 1.
Measured data for particle diameter, material porosity, and bin length are provided in Table 1. These data account for the natural variability in the porous material itself, the way it is loaded into the bin, and the tolerance associated with measuring the amount of material in the bin.
Table 1: Measured data available to characterize the diameter of the material,
the porosity of the material in the bin, and the length of the porous region.
Diameter Dp[m] | Porosity E[-] | Length L[m] |
0.0032 | 0.375 | 2.86 |
0.0039 | 0.347 | 3.13 |
0.0037 | 0.329 | 3.08 |
0.0035 | 0.352 | 3.12 |
0.0031 | 0.388 | 2.94 |
0.0040 | 0.419 | 2.90 |
0.0038 | 0.404 | 2.80 |
0.0038 | 0.394 | 3.05 |
0.0040 | 0.352 | 3.02 |
0.0037 | 0.370 | 3.04 |
Operational considerations require a minimum fluid velocity, vs of 0.35 m/s (treated as a fixed value).Based on a known fan curve, the static pressure at the flow rate for this air velocity is 15,250 Pa.
What is the probability of ∆p exceeding 15,250 Pa? Quantify the uncertainty on this probability due to limited data used to model input variations. Which variable contributes most to the uncertainty in the probability of failure prediction? What probability do you use to make a decision?
Initial results will be discussed at the NAFEMS regional conferences in 2022 and final results will be presented at the 2023 NAFEMS World Congress and published in a BENCHMARK article.
Solutions to the challenge problem should be submitted with supporting information covering
To respond to this Challenge Problem please email swg@nafems.org
The deadline for responses is Friday 25th November 2022 (in line with the deadline for Abstracts for NAFEMS' 2023 World Congress).
[1] | NAFEMS, “What is Uncertainty Quantification (UQ)?,” NAFEMS Ltd., 15 August 2018. [Online]. Available: https://www.nafems.org/publications/resource_center/wt08/. [Accessed 23 March 2022]. |
[2] | NAFEMS, “PSE Competency Tracker,” NAFEMS Ltd., [Online]. Available: https://www.nafems.org/professional-development/competency_tracker/. [Accessed 23 March 2022]. |
[3] | NAFEMS, “Stochastic Challenge Problems,” NAFEMS Ltd., [Online]. Available: https://www.nafems.org/community/working-groups/stochastics/challenge_problem/. [Accessed 23 March 2022]. |
[4] | S. Ergun, “Fluid flow through packed columns,” Chem. Eng. Sci., pp. 89-94, 1952. |
This site uses cookies that enable us to make improvements, provide relevant content, and for analytics purposes. For more details, see our Cookie Policy. By clicking Accept, you consent to our use of cookies.